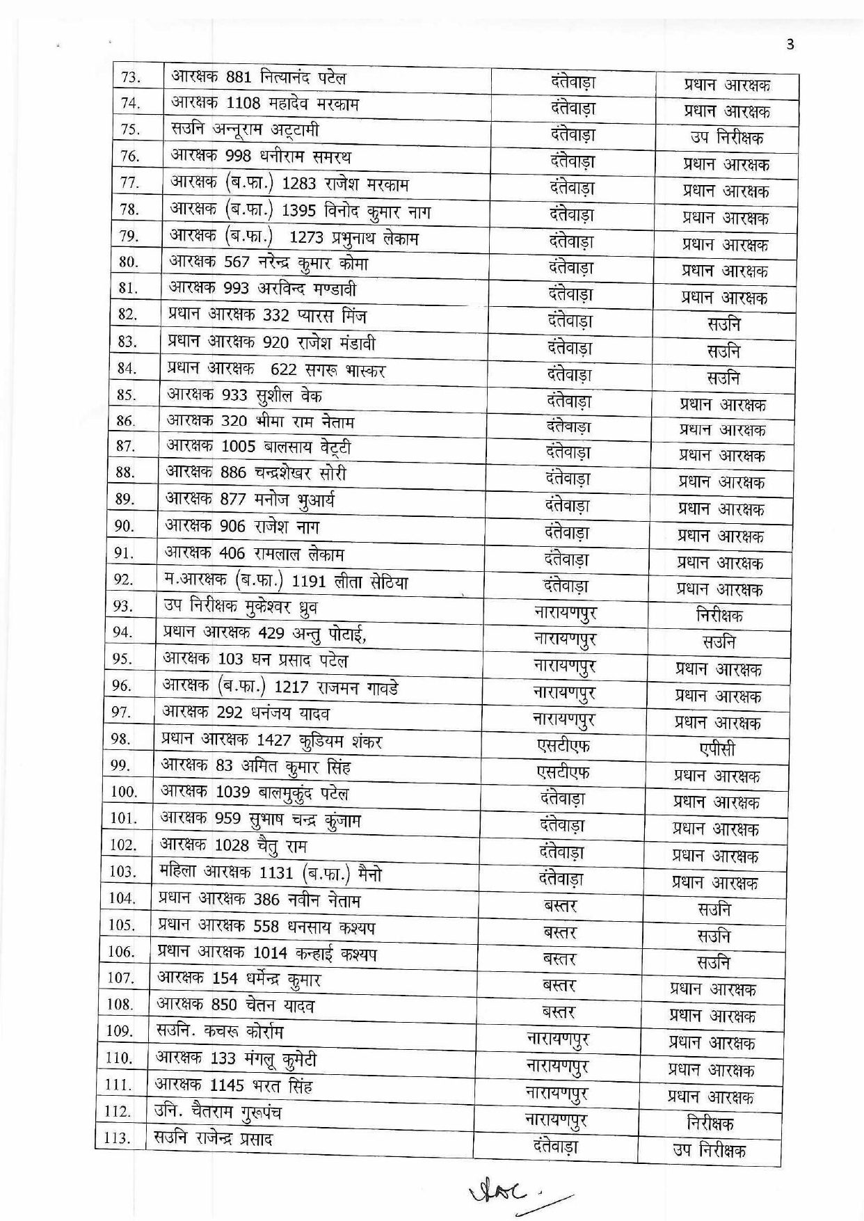
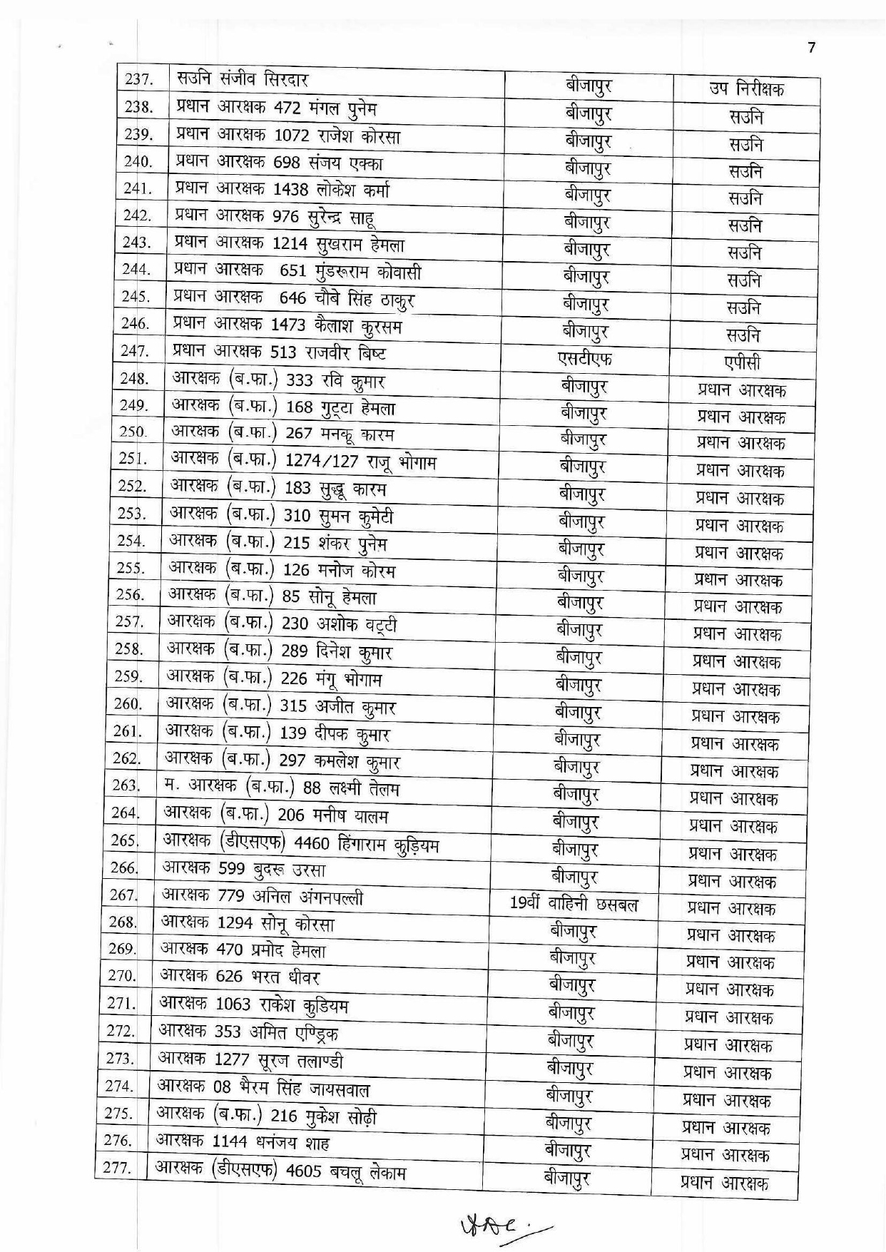
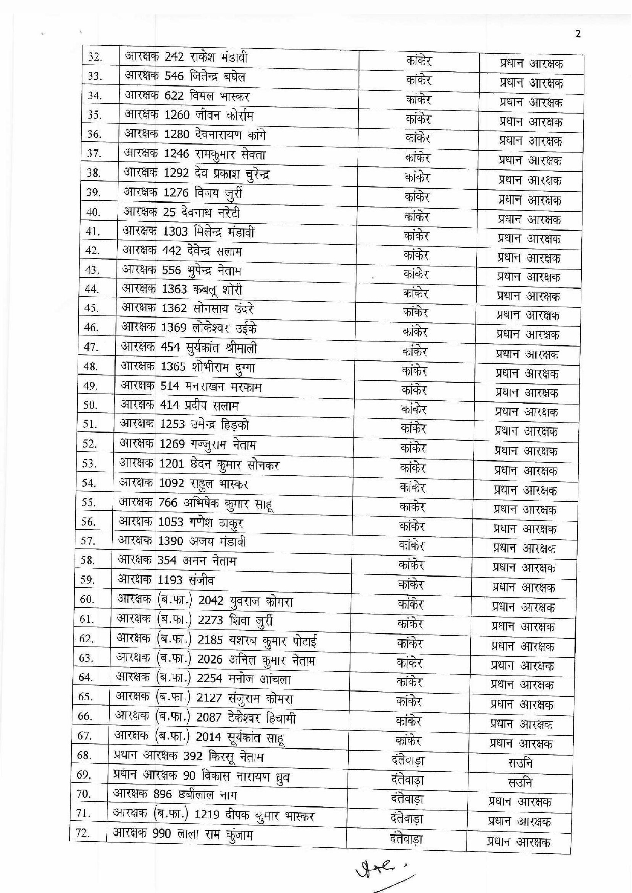
रायपुर :- राज्य सरकार ने नक्सल ऑपरेशन में उबेहतर प्रदर्शन करने वाले 295 पुलिसकर्मियों को बड़ा इनाम दिया है। बस्तर संभाग में तैनात इन जांबाज जवानों को उनके उत्कृष्ट प्रदर्शन के लिए आउट ऑफ टर्न प्रमोशन दी गई है। पदोन्नति पाने वालों में सिपाही से लेकर सब इंस्पेक्टर स्तर तक के पुलिसकर्मी शामिल हैं। इस संबंध में डीजीपी अरुण देव गौतम ने पदोन्नत पुलिसकर्मियों की सूची जारी की है।







जुड़िये प्रदेश के सबसे तेज न्यूज़ नेटवर्क से
https://chat.whatsapp.com/HjkV5Kqy2MoKMVdSPufHlm









